邮箱系统
中国科学院燃烧等离子体国际科学计划项目启动 同步发布BEST研究计划
科学岛团队研发的全链条机器人育种家“小海”正式发布
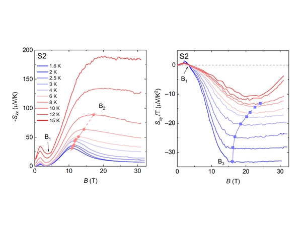
科学岛团队在理想一维外尔相中观测到巨大的能斯特平台
“夸父”取得重要进展!成功打造“盾牌
BEST装置首个关键部件杜瓦底座成功落位装配
2025
2024
安徽省蚌埠市东海大道2595号大学科技园1号楼城市之门大厦东楼12层
0552-2157309
bbttc@bengbuttc.com
©版权所有 中科蚌埠技术转移中心 皖ICP备20000361号